본문 바로가기
공무원 정보

2020년 군인 봉급표 부사관, 간부, 장교 2020 직업군인 월급

by 45분점 2019. 11. 27.

목차

    2020년 군인 봉급표: 부사관, 간부, 장교 2020 직업군인 월급

    2020년이 점점 다가오고 있습니다. 연말이 다가올수록 새로운 시작과 변화에 대한 기대감이 높아지는 시기입니다. 특히 군인들에게는 새로운 해가 시작됨에 따라 그들의 월급과 생활에도 변화가 있을 것입니다. 이번 글에서는 2020년에 예상되는 군인 봉급표를 살펴보고, 부사관, 간부, 장교들의 월급 인상에 대해 알아보겠습니다.

    상황 개요

    2019년 한 해를 돌이켜보면, 남북 관계가 여전히 긴장된 상태에서 진전이 없는 등 국가 안보의 중요한 이슈들이 여전히 존재했습니다. 또한, 군대 내에서도 병사들의 복지와 월급 문제가 끊임없이 이슈화되었습니다. 2018년에는 병사들의 월급이 상당한 인상을 겪었지만, 2019년에는 동결되는 등 혼란스러운 상황이었습니다.

    2018년에 병사 월급은 파격적인 월급 인상이 이루어졌었지만 2019년에는 동결이었습니다. 2020년 병사 월급은 33% 정도 인상 예정입니다.

    그래도 여전히 징병제를 하기 위한 월급에는 현저히 모자랍니다.

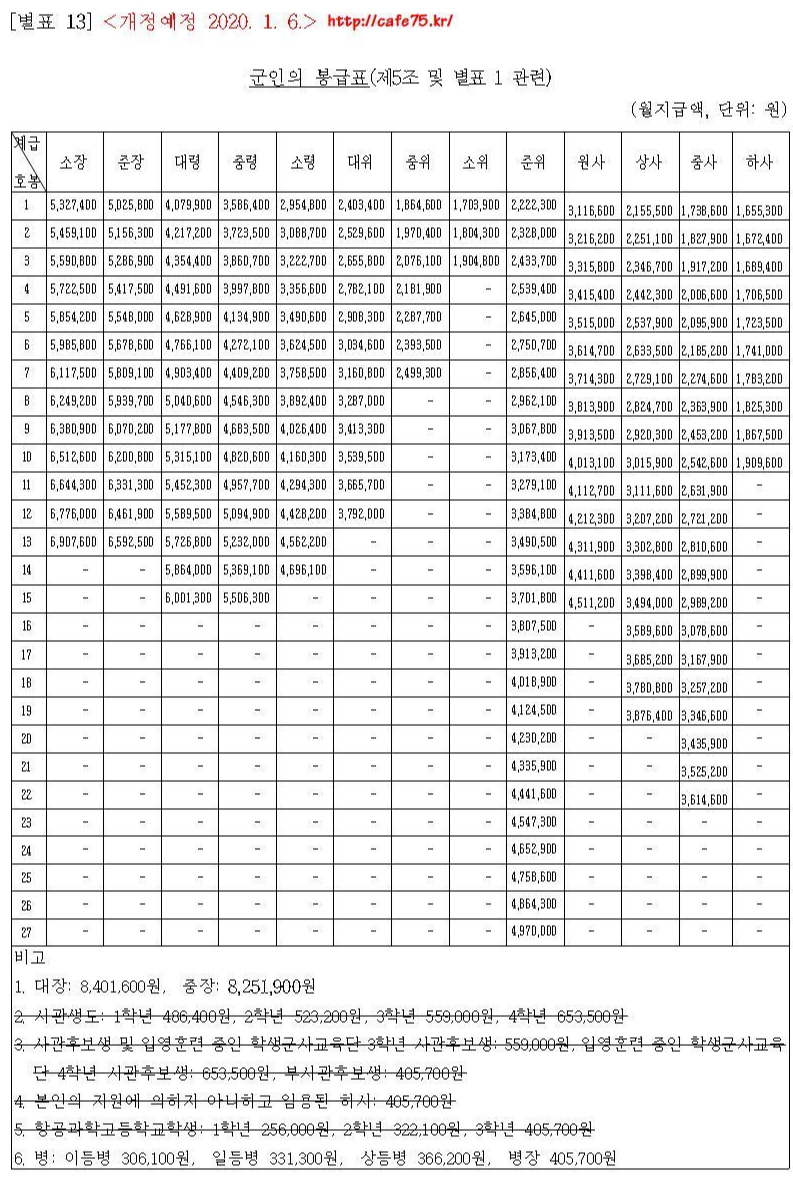
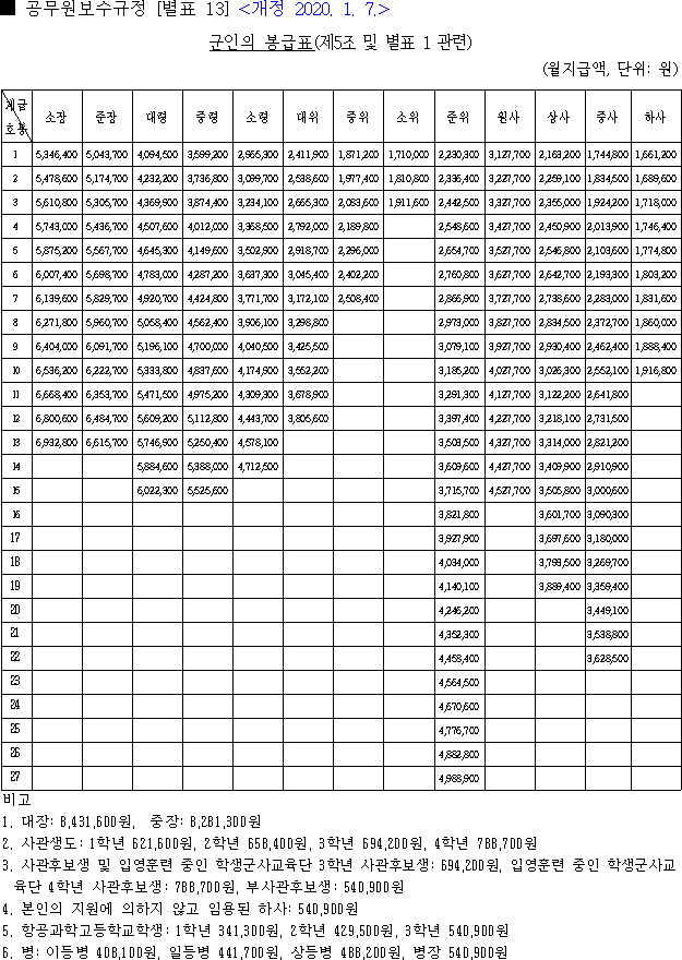
    2020년 군인 봉급표 예상

    2020년에는 군인들의 월급이 예상대로 상당한 인상이 있을 것으로 예상됩니다. 특히 부사관, 간부, 장교 등 상위 계급의 경우, 이전과 비교했을 때 더욱 큰 인상이 있을 것으로 보입니다. 하지만 이러한 인상은 수당이 기본급에 포함되는 형태로 이루어지게 될 것입니다. 이로 인해 기본급 자체는 크게 인상되지 않을 수 있으나, 수당을 고려할 때 전반적으로 월급이 상승한 것처럼 보일 것입니다.

    2018년 병장월급이 40만 원대로 전년대비 88%나 인상되었습니다.

    2020년에는 병장월급이 54만 원이나 합니다.

    부사관, 간부, 장교의 월급 변화

    그럼 2020 직업군인 월급은 얼마나 인상되었을까요?

    2020년에는 부사관, 간부, 장교의 월급이 각각 2.8%의 인상이 있을 것으로 예상됩니다. 하지만 이는 수당이 기본급에 포함되는 관계로, 실제로는 이전과 비교했을 때 큰 인상이 있는 것처럼 보일 수 있습니다. 예를 들어, 하사의 월급이 중사나 소위의 월급보다 높아 보일 수도 있습니다.

    예상해 본 2020년 군인 봉급표를 살펴보면 엄청나게 인상된 것 같습니다만..

    이것은 2018년에 최저임금 16.4% 인상에 따른 최하위직 간부인 하사 월급을 최저임금 수준에 맞추기 위해서 통상수당이 기본급에 포함되었기 때문입니다.

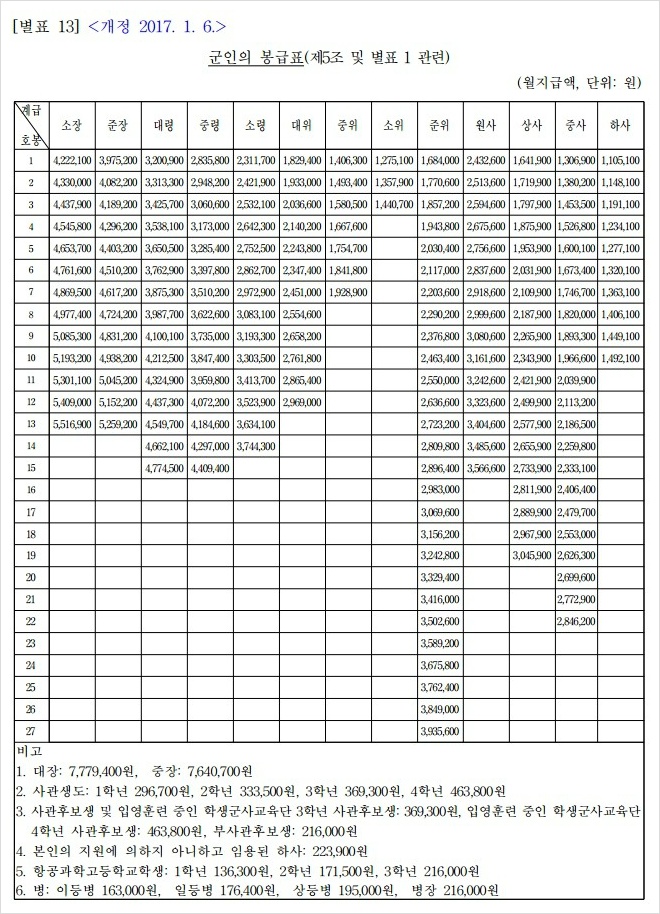
    2018년 군인 봉급표

    2020년 장교 월급 및 군인 간부 월급은 2.8% 인상되었습니다.

    물론 2020 부사관 월급 역시 2.8% 인상되었습니다.

    하지만 앞서 말씀드린 바와 같이 수당이 기본급에 포함된 월급표인 관계로 2017년에 비해 급격히 임금 상승이 된 것처럼 보입니다.

    하사 월급만 그렇게 하면 하사 월급이 중사 월급이나 심지어 소위 월급보다 높아 보일 수 있으므로 간부 월급 전체에 수당이 포함되었습니다.

    지금까지 매년 부사관 월급이 최저임금을 밑돌아도 단 한 번도 신경도 안 쓰다가 국민적 관심이 쏠리니 겨우 미봉책을 펴고 있습니다.

    역시 국방부답다 싶으시겠지만, 내년에는 일반직 공무원 봉급표에도 같은 현상이 나타날 것입니다.

    결론

    2020년에 예상되는 군인 봉급표를 통해 부사관, 간부, 장교 등의 월급 인상에 대해 살펴보았습니다. 이러한 변화는 군대 내부뿐만 아니라 국가 전반의 안보와 병사들의 복지에도 영향을 미칠 것으로 보입니다. 앞으로의 변화와 발전에 대한 기대감과 함께, 군인들의 안전과 복지를 위한 노력이 계속되기를 기대합니다.

    요약 키워드

    군인, 봉급표, 부사관, 간부, 장교, 월급, 2020년, 인상, 수당, 안보, 복지, 예상

    이상으로 2020년 군인 봉급표에 대한 예상과 부사관, 간부, 장교들의 월급 변화에 대해 살펴보았습니다. 새해가 다가옴에 따라 변화되는 군인들의 월급과 복지에 대한 관심이 높아지고 있습니다. 앞으로도 군대 내부의 안정과 복지 향상을 위한 지속적인 노력이 이루어져야 할 것입니다.

    반응형

    댓글